DIN 75200汽车内部设备用材料燃烧性能测试

DIN 75200标准描述

DIN 75200 Determination of burning behaviour of interior materials in motor vehicles

DIN 75200汽车内部设备用材料燃烧性能的测定


DIN 75200标准介绍

DIN 75200 是德国工业标准(DIN)制定的一项汽车内饰材料燃烧性能测试标准, 用于评估汽车内部材料在遇到小型火源时的燃烧特性。DIN 75200测试通过水平燃烧试验来测定材料的燃烧速率, 确保其不会在车内快速蔓延, 从而降低火灾风险, 提高车辆安全性。DIN 75200 是汽车行业内常用的燃烧测试标准, 确保汽车内饰材料在遇到小型火源时不会迅速燃烧, 从而提升车辆安全性。

DIN 75200汽车内部设备用材料燃烧性能测试

DIN 75200适用范围

DIN 75200 适用于所有机动车辆(乘用车、卡车、公交车等)内部使用的材料, 主要包括:

◎座椅材料(织物、泡沫、皮革等)

◎地毯和地垫

◎仪表板、车门饰板

◎天花板衬里

◎其他内部装饰材料

DIN 75200汽车内部设备用材料燃烧性能测试

标准适用于单一材料或复合材料(如粘接、涂层、层压材料等), 但不适用于评估材料在真实车辆环境中的燃烧行为。


DIN 75200测试方法

(1)试样制备:

◎试样尺寸为 356 mm × 100 mm, 厚度不得超过 13 mm。

◎试样在 23°C ± 2°C, 50% ± 5% 湿度的环境下存放 至少 24 小时(但不超过 7 天) 以稳定材料状态。

◎柔软或易变形的材料(如织物)需要在下方加支撑金属丝(直径 0.25 mm), 以防止塌陷影响燃烧行为。

(2)测试设备:

DIN 75200汽车内部设备用材料燃烧性能测试

◎燃烧箱(Brennkasten):由不锈钢制成, 前部为耐火玻璃, 便于观察。

◎燃烧器(Brenner):使用 9.5 mm 内径的燃气喷嘴(燃料:正丁烷或丙烷)。

◎计时器(Stoppuhr):精度为 0.5 秒, 用于记录燃烧时间。


(3)测试步骤:

◎将试样水平固定在 U 形夹具中, 试样自由端朝向燃烧器。

◎确保燃烧器喷嘴距离试样下边缘 19 mm, 然后点燃燃烧器。

◎让火焰接触试样 15 秒 后移除火焰。


DIN 75200汽车内部设备用材料燃烧性能测试

◎观察并记录:火焰是否熄灭。火焰蔓延至两个测量标记之间的时间。

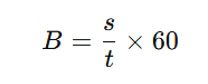
◎计算 燃烧速率(B, 单位:mm/min), 公式如下:

DIN 75200汽车内部设备用材料燃烧性能测试

其中:

B = 燃烧速率(mm/min)

s = 火焰蔓延距离(mm)

t = 火焰蔓延所需时间(s)


DIN 75200判断依据

测试结果根据燃烧速率(B)进行判定:

◎B ≤ 100 mm/min:符合标准, 可用于汽车内饰材料。

◎B > 100 mm/min:不符合标准, 不推荐用于汽车内部。

◎若试样在 30 秒内自动熄灭, 且燃烧长度 ≤ 50 mm, 则视为合格。

如果试样被点燃后 未持续燃烧, 则燃烧速率 B = 0 mm/min, 视为完全符合要求。


更多车辆内饰材料燃烧测试标准

GB 8410道路车辆乘员车厢内饰材料

IS0 3795道路车辆乘员车厢内饰材料

SAE J369-2019用于驾驶室和客室的高分子材料

FMVSS 302 49 道路车辆乘员车厢内饰材料

CFR 571.302道路车辆乘员车厢内饰材料

CMVSS 302道路车辆乘员车厢内饰材料

GB/T 20953农林拖拉机和机械, 驾驶室内饰材料

STD 104-0001沃尔沃内饰材料燃烧性能

GB 24407专用校车安全技术条件

DIN 75200道路车辆乘员车厢内饰材料

NES M0094-2023道路车辆乘员车厢内饰材料

Directive 95/28/EC 1995 Annex IV材料水平燃烧速度

ECE Regulation No. 118 Rev.3:2023+A1:2024 Annex6水平燃烧速度

ECE/TRANS/WP.29/78/Rev.3 2023 Annex 6水平燃烧速度

ECE Regulation No. 44

ECE Regulation No. 129

TL 1010:2008道路车辆乘员车厢内饰材料

ISO 3795道路车辆、农林拖拉机和机械内饰材料燃烧测试


赛德斯威(SATISFY)拥有专业的耐火和阻燃测试技术团队,可提供美标、欧标、澳标、国标建筑材料耐火测试,服务包括产品评估,测试跟进,报告解读,改善建议等,请联系赛德斯威客服了解详情。