NFPA 257窗户和玻璃组件的防火测试标准

NFPA 257标准描述

NFPA 257窗户和玻璃组件的防火测试标准

NFPA 257 Standard on Fire Test for Window and Glass Block Assemblies


NFPA 257标准介绍

玻璃通常是设计建筑的外墙、门和窗户重要的建造和装饰材料。为保护建筑居住者生命和财产安全, 除玻璃的外观外, 还应考虑玻璃的防火性能。 NFPA 257是由美国国家消防协会(NFPA)制定的, 规定了窗户、玻璃和玻璃块耐火测试和软管冲水测试的要求和方法。NFPA 257旨在通过测试确定玻璃遏制火焰和热气体和延迟热传递的能力。

NFPA 257窗户和玻璃组件的防火测试标准

NFPA 257适用范围

NFPA 257适用于窗户、玻璃和玻璃块。

NFPA 257窗户和玻璃组件的防火测试标准

NFPA 257耐火测试

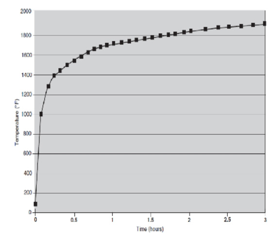
在耐火试验期间, 控制玻璃试样所暴露的炉内温度, 须符合耐火试验的标准时间-温度曲线。在耐火测试开始时, 实验室环境温度在10℃~32℃之间, 炉内温度应通过至少九个均匀分布在炉内的热电偶来确定暴露于火焰的窗户的温度。热电偶与暴露于火焰的玻璃试样或安装测试的墙面相距152毫米。测试过程中, 炉内温度每分钟测量一次。炉内的垂直压力分布应通过至少两个压力传感器进行测量。

NFPA 257窗户和玻璃组件的防火测试标准

NFPA 257软管冲水测试

NFPA 257窗户和玻璃组件的防火测试标准

将玻璃试样放入加热到 1600º F 以上的炉子中 45 分钟, 如果要延长使用寿命, 则需要更高的温度。然后, 从 20 英尺外通过软管喷水, 水压为 57.7 lbf和 86.6 lbf。如果玻璃保持完好且不超过可容忍的开口, 则通过测试。NFPA 257(窗户组件防火测试)软管喷水测试允许玻璃周边损失 30%, 中心损失 5%。


赛德斯威(SATISFY)可以提供建筑材料及制品的燃烧性能测试的一站式服务, 包括前期的评估、相关资料准备和提交、测试的全程跟进以及报告解读、数据分析和整改建议。