法律标(LAW LABEL):华盛顿特区(D.C.)的进口商要求:您需要新的许可证吗?

法律标(LAW LABEL):华盛顿特区(D.C.)的进口商要求:您需要新的许可证吗?

2025年06月24日

2025年6月25日,欧洲化学品管理局(ECHA)发布重要公告,将3种新物质列入高度关注物质(SVHC)候选清单。此次更新后,SVHC候选清单总数达到250项,标志着欧盟对化学品监管的持续加强。


法律标(LAW LABEL):华盛顿特区(D.C.)的进口商要求:您需要新的许可证吗?

新增物质详情


此次被列入SVHC清单的3种物质及其特性如下:


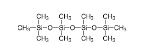
甲基三(三甲基硅氧烷基)硅烷

1,1,1,3,5,5,5-heptamethyl-3-[(trimethylsilyl)oxy]trisiloxane


法律标(LAW LABEL):华盛顿特区(D.C.)的进口商要求:您需要新的许可证吗?

◎ EC号: 241-667-7

◎ CAS号: 17928-28-8

◎ 列入理由: 具有高持久性和高生物累积性(vPvB),符合REACH法规第57条e款

◎ 主要用途: 实验室试剂、化妆品、个人护理用品、香水和香料,以及涂料、涂层和胶粘剂中的粘合剂


十甲基四硅氧烷

Decamethyltetrasiloxane


法律标(LAW LABEL):华盛顿特区(D.C.)的进口商要求:您需要新的许可证吗?

◎ EC号: 205-491-7

◎ CAS号: 141-62-8

◎ 列入理由: 具有高持久性和高生物累积性(vPvB),符合REACH法规第57条e款

◎ 主要用途: 化妆品、个人护理用品、润滑油、润滑脂、汽车护理产品以及洗涤和清洁产品


活性棕51

tetra(sodium/potassium) 7-[(E)-{2-acetamido-4-[(E)-(4-{[4-chloro-6-({2-[(4-fluoro-6-{[4-(vinylsulfonyl)phenyl]amino}-1,3,5-triazine-2-yl)amino]propyl}amino)-1,3,5-triazine-2-yl]amino}-5-sulfonato-1-naphthyl)diazenyl]-5-methoxyphenyl}diazenyl]-1,3,6-naphthalenetrisulfonate; Reactive Brown 51


法律标(LAW LABEL):华盛顿特区(D.C.)的进口商要求:您需要新的许可证吗?

◎ EC号: 466-490-7

◎ 列入理由: 具有生殖毒性,符合REACH法规第57条c款

◎ 主要用途: 纺织处理产品和染料


监管要求

根据欧盟废弃物框架指令(WFD,指令2008/98/EC),投放欧盟/欧洲经济区市场上的物品中,若SVHC物质浓度超过0.1%(质量分数,即1000 mg/kg),供应商需向ECHA进行SCIP通报。这一要求旨在提高供应链透明度,确保消费者和环境安全。


法律标(LAW LABEL):华盛顿特区(D.C.)的进口商要求:您需要新的许可证吗?

此次更新再次提醒行业加强对化学品使用的审查,推动更安全的替代方案,以符合欧盟日益严格的环保和健康标准。赛德斯威(SATISFY)可提供SVHC化学检测服务,更多内容请联系赛德斯威客服。