ASTM D638塑料的拉伸性能

ASTM D638标准描述

ASTM D638 Test Method for Tensile Properties of Plastics

ASTM D638塑料拉伸性能试验方法


ASTM D638标准介绍

ASTM D638 是一种用于测定塑料拉伸性能的标准测试方法, 适用于增强或未增强的热塑性和热固性塑料。该测试方法由 ASTM International制定, 主要用于测量塑料材料的拉伸强度、屈服强度、伸长率、弹性模量等机械性能。ASTM D638广泛应用于工程塑料、复合材料、汽车零件、医疗器械、电子产品等领域, 确保塑料制品的质量和可靠性。

ASTM D638塑料的拉伸性能

ASTM D638适用范围

ASTM D638适用于塑料材料, 包括热塑性塑料、热固性塑料、增强塑料(如玻璃纤维增强塑料)等。


ASTM D638 试样类型

ASTM D638 规定了五种标准试样类型:

Type I:标准试样, 适用于大多数塑料(推荐用于厚度 7mm 以下的塑料)。

Type II:小型试样, 适用于有限材料量或薄片材料。

Type III:更小尺寸的试样, 适用于极限材料使用情况。

Type IV:更宽的试样, 用于薄膜或柔性塑料。

Type V:微型试样, 适用于少量材料(如微注塑制品)。


ASTM D638测试方法

试样准备:根据材料厚度和测试需求, 选择合适的试样类型, 并将其制成哑铃型的试样。准备至少5个试样, 将试样放置在23℃, 相对湿度为50%环境中至少40小时。

试验设备:使用万能材料试验机(UTM), 配备适当的夹具和拉伸速率进行控制。机械夹具适用刚性材料, 气动夹具适用柔性材料(防止位移)。

ASTM D638塑料的拉伸性能

试样安装:将试样固定在夹具中, 根据材料类型选择适当的拉伸速率:5 mm/min(推荐用于刚性塑料);50 mm/min(推荐用于高延展性塑料)。

ASTM D638塑料的拉伸性能

施加拉伸荷载:启动测试机, 均匀拉伸试样, 记录应力-应变数据, 绘制拉伸曲线。

监测关键数据:屈服点、最大拉力、断裂点、伸长率、弹性模量。

试样断裂:继续施加荷载, 直到试样完全断裂, 观察断裂情况。


ASTM D638判断依据

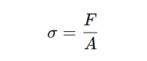
(1)应力计算:

ASTM D638塑料的拉伸性能

σ= 应力(MPa);ΔL = 试样拉伸变形量(mm);L0​ = 原始标距(mm)


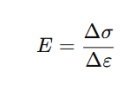
(2)弹性模量计算:

ASTM D638塑料的拉伸性能

E = 弹性模量(MPa);Δσ= 应力变化;Δε= 应变变化


赛德斯威(SATISFY)可提供各类塑料材料欧标、美标、澳标、国标测试, 以及其他家具测试的一站式服务, 包括前期的评估、相关资料准备和提交、测试的全程跟进以及报告解读、数据分析和整改建议。更多测试详情请联系赛德斯威客服。