BS EN 1177冲击减震游乐场铺面.临界跌落高度的测定

BS EN 1177标准描述

BS EN 1177 Impact attenuating playground surfacing - Determination of critical fall height

BS EN 1177 冲击减震游乐场铺面.临界跌落高度的测定


BS EN 1177标准介绍

BS EN 1177 是一项用于评估游乐场地面材料减震性能的安全标准, 通过测定"临界跌落高度"判断其对头部冲击的缓冲效果, 确保儿童从设备跌落时不会发生严重伤害, 实际用于指导地面选材、保障游乐场安全合规。

BS EN 1177冲击减震游乐场铺面.临界跌落高度的测定

BS EN 1177适用范围

BS EN 1177用于儿童游乐场设备下方的地面材料, 目的是减轻儿童从高处跌落时头部受伤的风险。

BS EN 1177冲击减震游乐场铺面.临界跌落高度的测定

BS EN 1177测试原理

通过模拟头部撞击地表材料的过程, 测量头部模型(headform)在不同跌落高度下的加速度, 计算头部伤害准则(Head Injury Criterion, HIC)值, 以评估材料的冲击衰减性能。测试设计的设备如下:

头模:160 mm±5 mm 直径, 质量为4.6 kg±0.05 kg, 带三轴或单轴加速度计。

释放系统:确保头模自由下落或受控下落, 不产生旋转或其他非自由落体运动。

测量系统:包括加速度记录系统、速度测量仪器和 HIC 计算程序。

记录设备:采样频率≥10 kHz。


BS EN 1177测试方法

(1)测试条件:

实验室测试: 在23±5℃, 硬质平整混凝土基底上进行。

现场测试: 记录环境湿度、表面状态, 测试结果仅适用于测试当时情况。


(2)测试步骤

◎选择测试位置:

每个跌落高度至少测试3个不同位置, 间距≥250 mm, 距边缘≥250 mm。

松散材料每次测试需重新分布材料。

◎跌落测试:

从至少4个递增的跌落高度(如0.5 m、1.0 m、1.5 m、2.0 m)释放头部模型。

每个高度记录3次连续撞击的HIC值(松散材料需记录最高值)。

◎数据记录:

每次撞击的加速度-时间曲线及HIC值。

检查信号异常(如高频振动需排查设备故障)。


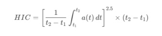
(3)计算HIC值

公式如下:

BS EN 1177冲击减震游乐场铺面.临界跌落高度的测定

a(t): 加速度(单位:g, 重力加速度)。

t1,t2: 撞击时间间隔(≥3ms)。

BS EN 1177冲击减震游乐场铺面.临界跌落高度的测定

BS EN 1177判断依据

临界跌落高度的确定:

◎将 HIC 值与跌落高度绘制成曲线;

◎确定 HIC = 1000 对应的最小跌落高度;

◎该高度即为该材料的临界跌落高度;

◎若所有测试中 HIC 都 < 1000, 则该材料的临界跌落高度等于测试的最大高度。


EN 1177 防坠落保护措施检查及临界坠落高度确定


赛德斯威(SATISFY)可以提供地面材料测试的一站式服务, 包括前期的评估、相关资料准备和提交、测试的全程跟进以及报告解读、数据分析和整改建议, 更多测试内容请联系赛德斯威客服。