GB/T 30228运动场地地面冲击衰减的安全性能要求和试验方法

GB/T 30228标准描述

GB/T 30228 Safety requirements and test methods for impact attenuation of playground surfacing

GB/T 30228运动场地地面冲击衰减的安全性能要求和试验方法


GB/T 30228标准介绍

GB/T 30228是中国运动场地地面安全性能的核心标准, 适用于塑胶跑道、人造草、木地板、安全地垫等, 通过HIC、Gmax、冲击衰减值(R)等指标确保运动场地的安全性和功能性。该标准对生产、检测、验收均有重要指导作用。


GB/T 30228适用范围

本标准适用于运动场地地面(如塑胶跑道、人造草坪、木地板、安全地垫等), 规定了其冲击衰减性能的安全要求和测试方法, 包括:

◎安全防护性能(如儿童游乐场地垫)

◎运动性能(如篮球场、足球场、跑道等)

GB/T 30228运动场地地面冲击衰减的安全性能要求和试验方法

GB/T 30228相关术语

运动场地地面: 用于铺在运动场地表面的人工或天然材料。

冲击衰减: 地面通过形变减少冲击力或加速度的特性。

临界跌落高度 (CFH): 地面满足安全性能的最大跌落高度。

头部损伤评价值 (HIC): 评估头部伤害程度的特征值。

最大加速度 (Gmax): 模拟头冲击加速度的最大值。


GB/T 30228地板分类

GB/T 30228运动场地地面冲击衰减的安全性能要求和试验方法

GB/T 30228 I类地面(安全防护型)

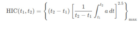
通过模拟头部冲击地面, 测量头部损伤评价值(HIC)和最大加速度值(Gmax), 确定地面的临界跌落高度(HIC=1000或Gmax=200g对应的较低值)。头部损伤评价值(HIC)的计算公式:

GB/T 30228运动场地地面冲击衰减的安全性能要求和试验方法

参数说明:

a: 加速度(以重力加速度g的倍数表示)。

t1,t2: 冲击过程中任意两个时间点(单位:毫秒,ms)。

GB/T 30228运动场地地面冲击衰减的安全性能要求和试验方法

判断依据

HIC ≤1000 且 Gmax ≤200g, 且 CFH ≥设施跌落高度(若>600mm)。


GB/T 30228 II类地面(运动性能型)

实验室测试条件

◎测试样品应在 23±2℃、相对湿度55±10% 条件下放置至少 48小时。

◎点弹性地面(如塑胶跑道): 测试样品 1m×1m。

◎面弹性地面(如木地板): 测试样品 3.5m×3.5m。

◎测试应在坚硬、平整的混凝土基面上进行。


调整设备

◎冲击重锤与测力装置间距 55±0.25mm。

◎点弹性地面: 测试点距边缘≥20cm。

◎面弹性地面: 测试点距边缘≥100cm。


冲击测试

释放重锤, 记录峰值冲击力(Ft)。间隔 60±10s, 重复3次, 取后两次的平均值作为Ft。

计算冲击衰减值(R):

GB/T 30228运动场地地面冲击衰减的安全性能要求和试验方法

注: Fr(参照力)是指在混凝土基面上测得的冲击力均值。


判断依据:

GB/T 30228运动场地地面冲击衰减的安全性能要求和试验方法

赛德斯威(SATISFY) 可以提供地面材料测试的一站式服务, 包括前期的评估、相关资料准备和提交、测试的全程跟进以及报告解读、数据分析和整改建议, 更多测试内容请联系赛德斯威客服。