ISO 3386-2高密度材料软质泡沫聚合材料压缩应力应变特性

ISO 3386-2标准描述

ISO 3386-2 Flexible cellular polymeric materials - Determination of stress-strain characteristics in compression - Part 2: High-density materials

ISO 3386-2软质泡沫聚合材料 压缩应力应变特性的测定 第2部分:高密度材料


ISO 3386-2标准介绍

ISO 3386-2是针对柔性多孔聚合材料压缩应力 - 应变特性测定的重要标准, 适用于密度大于 250kg/m³ 的此类材料, 在特定情形下也可用于密度 150kg/m³ 及以上的材料。借助该标准, 能精确测定材料在压缩过程中的应力 - 应变特性, 量化评估材料承载性能 。ISO 3386-2能够为材料研发者提供数据支撑, 助其优化材料性能,

ISO 3386-2高密度材料软质泡沫聚合材料压缩应力应变特性

ISO 3386-2适用范围

ISO 3386-2规定了密度大于 250kg/m³ 的柔性多孔聚合材料压缩应力 - 应变特性的测定方法, 出于比较目的, 也可用于密度 150kg/m³ 及以上的材料。主要适用于较致密的柔性多孔材料, 如发泡多孔橡胶等。

ISO 3386-2高密度材料软质泡沫聚合材料压缩应力应变特性

ISO 3386-2测试方法

测量试件尺寸并计算受力面面积:对试件的长、宽、高等尺寸进行测量, 之后计算出试件承受载荷的面的面积。

进行压缩和减压操作:将试件以力沿测试机中心线作用的方式放置好, 利用压缩板以 (5 ± 1) mm/min 的速率对试件进行压缩, 直至达到材料规范中规定的压缩应变。接着, 再以相同速率对试件进行减压, 直到压缩板与基板之间的距离和试件初始厚度相等。

重复压缩减压过程:重复上述压缩减压操作 3 次, 在第 4 次压缩循环的规定应变下读取力值;若测多个应变, 按应变增大顺序测量, 无需额外恢复时间或重复预加载

ISO 3386-2高密度材料软质泡沫聚合材料压缩应力应变特性

ISO 3386-2判断依据

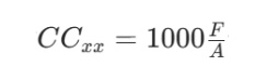
计算压缩应力-应变特性(Kpa):

ISO 3386-2高密度材料软质泡沫聚合材料压缩应力应变特性

CC应变为xx时的压缩应力 - 应变特性

F是规定应变下的力(单位为 N)

A是试件面积mm²


赛德斯威(SATISFY) 有专业的发泡材料测试服务团队,可提供国标、欧标、美标、澳标的发泡测试的一站式服务,包括前期的评估、测试的全程跟进以及报告解读、数据分析和整改建议。更多内容请联系赛德斯威客服。